La energía cinética es la energía que produce un cuerpo en movimiento. En griego, cinética significa "movimiento", mientras que energía significa “trabajo”. Dicho de otra manera, la energía cinética es el trabajo que realiza un cuerpo cuando se mueve.
Podemos aprovechar la energía cinética de muchos fenómenos naturales. Por ejemplo, el movimiento de las aguas de un río se transforma en electricidad gracias a las centrales eléctricas. La energía eólica es la energía cinética del aire. Cuando clavamos un clavo con un martillo, estamos utilizando la energía cinética del martillo al moverlo.
Cuando se mide la energía cinética se usa como medida el joule, que se abrevia simplemente con la letra J.
Fórmula de la energía cinética
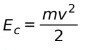
Para calcular la energía cinética de los cuerpos se utiliza la ecuación:

Esto significa que la energía cinética Ec es igual a la masa del cuerpo m multiplicado por el cuadrado de la velocidad v , todo esto dividido entre 2.
Podemos deducir que mientras mayor sea la cantidad de masa, mayor será la energía, y que la energía es proporcional a la velocidad multiplicada por sí misma.
La energía cinética no es un vector. Esto quiere decir que si lanzas una pelota con una velocidad de 5 m/s, la pelota tendrá la misma energía cinética, no importa si la lanzas a la izquierda o a la derecha o hacia arriba.
La energía cinética depende de la masa y la velocidad

La energía cinética depende de la masa y de la velocidad del cuerpo. Esto significa que mientras más grande sea o más velocidad tenga un objeto, mayor será la energía que produce.
Un ejemplo de lo anterior sería lo siguiente: un camión es más grande que un carro; si ambos van a la misma velocidad y chocan contra una pared, los daños que provoca el camión son mayores. En este caso, el camión tiene más energía cinética.
Ahora imagina: van dos coches idénticos, uno a 50 km/h y el otro a 100 km/h. Para dos carros similares, mientras mayor sea la velocidad, más grave será el choque.
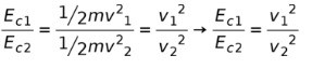
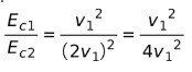
Así, la energía cinética depende de la velocidad al cuadrado. Esto significa que cuando la velocidad de un objeto se duplica, su energía cinética se cuadruplica.
Un carro que viaja a 60 km/h tiene cuatro veces la energía cinética que un carro idéntico que viaja a 30 km/h, y, por lo tanto, cuatro veces mayor potencial de destrucción en caso de accidente.
¿Cómo calcular la energía cinética de un cuerpo?
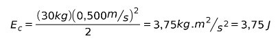
En un aeropuerto quieren calcular la energía cinética de un paquete de 30 kg sobre el sistema de correas, que se mueve con una velocidad de 0,500 m/s. ¿Cómo lo hacemos?

Estrategia
Conocemos la masa y la velocidad del paquete, así que usamos la fórmula:

Sustituyendo los valores, tenemos:

Discusión
La unidad de energía cinética es el joule, que es la misma unidad de trabajo. Fíjate que a pesar de ser un paquete pesado, su energía cinética no es tan grande por su baja velocidad.
Puntos claves a recordar
- Un cuerpo sólo tiene energía cinética si está en movimiento.
- La energía cinética depende de la masa y de la velocidad del cuerpo.
Problemas de energía cinética (resueltos)
Problema 1
Un elefante de 6000 kg corre con una velocidad de 10 m/s. ¿Cuál es su energía cinética?¿Cuál es la velocidad de una bala de cañón de 1kg si tuviera la misma energía cinética del elefante?
Problema 2
Un hombre chocó su coche contra un poste. Cuando fue a reportar el choque, dijo que iba a una cierta velocidad al momento del accidente. El investigador del accidente determinó que la velocidad del vehículo era exactamente el doble de la que dijo el hombre. ¿Cuál es la relación entre la energía cinética con la velocidad reportada por el hombre y la energía cinética con la velocidad calculada por el investigador?
Vea también:




