Las leyes de los exponentes son las reglas a seguir para realizar operaciones con potencias. La potencia de un número es el resultado de multiplicar ese número por sí mismo más de una vez. Al número se le llama base, y las veces que se multiplica es el exponente, que se coloca en pequeño arriba y a la derecha de la base.
an = base exponente
1) Potencia con exponente cero y base diferente de cero
Todo número con exponente 0 (es decir, elevado a cero) es igual a 1.
Por ejemplo:
a0 = 1
20 = 1
150 = 1
2) Potencia con exponente igual a uno
Todo número con exponente 1 es igual a sí mismo. Ejemplos de ello serían los siguientes:
a1 = a
101 = 10
151 = 15
3) Producto de potencias de igual base
Para multiplicar potencias de la misma base, se suman los exponentes, como, por ejemplo:
a3 . a5 = (a . a . a)(a . a . a . a . a) = a3+5 = a8
Por ejemplo:
23. 23 = 23+3 = 26 = 2 . 2 . 2 . 2 . 2 . 2 = 64
a15. a0 = a15+0 = a15
4b. 4c = 4b+c
4) División de potencias de igual base
Para dividir potencias de la misma base, se restan los exponentes.
Por ejemplo:
a10 ÷ a3 = a10 - 3 = a7
b3 ÷ b4 = b3 - 4 = b -1 = 1 / b
x23 / x13 = x 23 - 13 = x10
Todo número con exponente negativo es igual a su inverso con exponente positivo, como mostramos a continuación:
![]()
Otra forma de entender la división de potencias es eliminando términos comunes en el numerador y denominador, como, por ejemplo:
5) Ley de la uniformidad
Si los dos miembros de una igualdad se elevan a la misma potencia, resulta otra igualdad.
Por ejemplo:
a = 3
⇒ a2 = 32 ⇒ a2 = 9
⇒ a3 = 33 ⇒ a3 = 27
6) Potencia de un producto
También se conoce como ley distributiva de la potenciación con respecto de la multiplicación. Esta ley establece que la multiplicación (a.b.c) elevada a la n (enésima potencia) es igual a cada uno de los factores elevado a esa potencia y luego multiplicado.
Por ejemplo:
Esto lo podemos demostrar de la siguiente manera:
Por ejemplo:
(2 x 3 )3 = 23 x 33 = (2.2.2) (3.3.3) = 8 x 27 = 216
(3ab)2 = 32. a2 . b2 = 9 a2b2
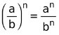
7) Potencia de una fracción
También se conoce como ley distributiva de la potenciación respecto de la división exacta. Para elevar una fracción a una potencia, se elevan su numerador y denominador a dicha potencia de la siguiente forma:

Por ejemplo:
![]()
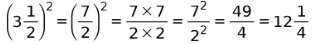
En el caso de una fracción mixta, se transforma el número a fracción:
![]()
8) Potencia de una potencia
Si multiplicamos potencias de igual base e igual exponente tendremos una potencia de otra potencia:
am . am . am multiplicada n veces = (am)n = am . n
b3. b3 . b3= (b3)3 = b 3.x 3 = b9
Para resolver la potencia de una potencia, dejamos la misma base y multiplicamos los exponentes:
(24)2 = 24 x 2 = 28 = 256
9) Ley de monotonía
Cuando los dos miembros de una desigualdad son mayores que cero y se elevan a una misma potencia diferente de cero, resulta una desigualdad del mismo sentido.
Por ejemplo:
5 > 3
⇒ 52 > 32 ⇒ 25 > 9
⇒ 53 > 33 ⇒ 125 > 27
Vea también:
Ejercicios (con soluciones)
1. Escribir las siguientes expresiones en forma de potencia única:
2. Hallar el valor de:
3. ¿Qué diferencia existe entre el cubo del doble de 2 y el doble del cubo de 2?
Vea también: